近日,电子信息学院在低轨卫星网络智能路由研究领域取得进展。相关研究成果以“Robust Congestion Control in LEO Satellite Networks via Dynamic Penalty Mechanism and Action Masking”为题,被机械与航空航天领域的国际学术会议ICMAE录用。该成果以上海电机学院为第一单位,由航空学院刘伟亮教授、电子信息学院24级研究生崔培城、航空学院讲师辜小明等团队成员共同完成。
低轨卫星网络是空天地一体化网络的重要组成部分。相较于传统网络环境,低轨卫星高速运动带来的拓扑快速变化,以及地面网关业务注入的不均衡,使网络在运行过程中容易出现局部拥塞、传输不稳定和路由环路等问题,进而影响端到端通信质量。围绕这些关键难题,研究团队将电子信息领域的智能算法方法引入航天网络场景,面向大规模动态低轨卫星网络提出了一种更加稳健的智能路由框架。

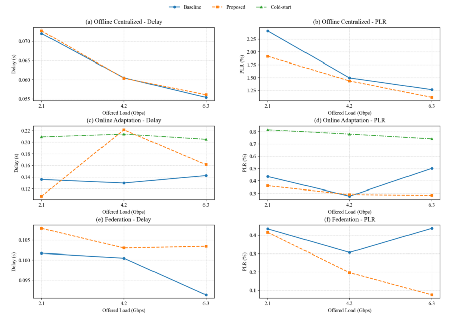
该研究以多智能体深度强化学习为基础,围绕低轨卫星网络中的动态拓扑、局部拥塞和部署稳定性等关键问题展开。首先,针对链路连接关系随卫星运行持续变化的特点,研究团队引入拓扑感知可行动作掩码机制,在决策阶段提前剔除暂时不可达的无效链路,提高路由过程的安全性与准确性。随后,针对网络运行过程中容易出现的局部拥塞和重复转发问题,进一步设计了拥塞感知动态惩罚和访问计数惩罚机制,引导数据在复杂环境下更加有效地避开拥塞区域和循环路径;最后,通过融合离线预训练、在线微调和联邦聚合,提升了算法在大规模动态低轨卫星网络中的稳定性、鲁棒性和适应能力。实验表明,在联邦模式下,中载和高载条件下的丢包率分别下降35.62%和82.85%;在线微调模式下,低载条件下的端到端时延下降20.91%。

本研究成果依托电子信息学院微纳卫星卓越工程师班。团队始终以国家航天领域重大需求为牵引,将前沿科研攻关与研究生创新能力培养深度融合。同时,学校研究生处在跨学科团队建设、研究方向把控及导学模式探索等方面给予了悉心指导与大力支持,为高水平学术成果的孵化与优秀科研后备人才的成长提供了坚实保障。(供稿:电子信息学院)

